一、分析拉伸的原因
1、修复前后照片对比
%5B02%5D-%E4%BF%AE%E5%A4%8D%E4%B8%89%E8%A7%92%E5%BD%A2%E7%9A%84%E6%98%BE%E7%A4%BA/00%20%E9%97%AE%E9%A2%98%E4%B8%8E%E7%9B%AE%E6%A0%87.png)
图片通过 sketch 制作
2、从问题到目标,分析原因
1、它们的顶点数据均为:
%5B02%5D-%E4%BF%AE%E5%A4%8D%E4%B8%89%E8%A7%92%E5%BD%A2%E7%9A%84%E6%98%BE%E7%A4%BA/02%20VFVertex.png)
2、借助 Matlab 把顶点数据绘制出来:
%5B02%5D-%E4%BF%AE%E5%A4%8D%E4%B8%89%E8%A7%92%E5%BD%A2%E7%9A%84%E6%98%BE%E7%A4%BA/03%20%E5%88%86%E5%B8%83%E5%9B%BE.png)
从图可以看出,这三个数据形成的其实是一个等边直角三角形,而在 iOS 模拟器中通过 OpenGL ES 绘制出来的是直角三角形,所以是有问题的,三角形被拉伸了。
3、on-Screen (屏幕) 的像素分布情况:
(1) iPhone6s Plus 屏幕:5.5寸,1920 x 1080 像素分辨率,明显宽高比不是 1:1 的;
(2) OpenGL ES 的屏幕坐标系 与 物理屏幕的坐标系对比:
%5B02%5D-%E4%BF%AE%E5%A4%8D%E4%B8%89%E8%A7%92%E5%BD%A2%E7%9A%84%E6%98%BE%E7%A4%BA/05%20%E7%89%A9%E7%90%86%E5%B1%8F%E5%B9%95%E7%9A%84%E5%9D%90%E6%A0%87%E7%B3%BB.png)
分析:前者是正方体,后者长方体,不拉伸才怪。
(3) 首先,OpenGL 最后生成的都是像素信息,再显示在物理屏幕上;通过 1) 和 2) 可以知道 Y 方向的像素数量大于 X 方向的像素数量,导致真实屏幕所生成的 Y 轴与 X 轴的刻度不一致(就是Y=0.5 > X=0.5),从而引起了最后渲染绘制出来的图形是向 Y 方向拉伸了的。
动画演示修复:
%5B02%5D-%E4%BF%AE%E5%A4%8D%E4%B8%89%E8%A7%92%E5%BD%A2%E7%9A%84%E6%98%BE%E7%A4%BA/06%20FixTriangle.gif)
所以要做的事情是,把顶点坐标的 Y 坐标变小,而且是要根据当前显示屏幕的像素比来进行缩小。
Gif 图片,由 C4D 制作,PS 最终导出;
(4) 在 Shader 里面,v_Position 的数据类型是 vec4 ,即为4分量的向量数据{x,y,z,w};就是说,要把这个向量通过数学运算变成适应当前屏幕的向量。
二、准备知识,三维变换
建议:
如果向量、矩阵知识不熟悉的可以看看《线性代数》一书;如果已经有相应的基础了,可以直接看《3D数学基础:图形与游戏开发》,了解 3D 的世界是如何用向量和矩阵知识描述的;若对 3D 知识有一定的认识,可以直接看《OpenGL Programming Guide》8th 的变换知识, 或 《OpenGL Superblble》7th 的矩阵与变换知识,明确 OpenGL 是如何应用这些知识进行图形渲染的。
注:以下核心知识均来源于,《3D数学基础:图形与游戏开发》,建议看一下第8章;
%5B02%5D-%E4%BF%AE%E5%A4%8D%E4%B8%89%E8%A7%92%E5%BD%A2%E7%9A%84%E6%98%BE%E7%A4%BA/07%204x4%20%E6%95%B4%E4%BD%93.png)
图片通过 sketch 制作,请放大看
1、4 x 4 方阵
%5B02%5D-%E4%BF%AE%E5%A4%8D%E4%B8%89%E8%A7%92%E5%BD%A2%E7%9A%84%E6%98%BE%E7%A4%BA/08%204X4%E6%96%B9%E9%98%B5.png)
-
(1) 它其实就是一个齐次矩阵,是对3D运算的一种简便记法;
-
(2) 3x3矩阵并没有包含平移,所以扩展到4x4矩阵,从而可以引入平移的运算;
2、线性变换(缩放与旋转)
%5B02%5D-%E4%BF%AE%E5%A4%8D%E4%B8%89%E8%A7%92%E5%BD%A2%E7%9A%84%E6%98%BE%E7%A4%BA/09%20%E7%BA%BF%E6%80%A7%E5%8F%98%E6%8D%A2.png)
- n,是标准化向量,而向量标准化就是指单位化:
a、 v不能是零向量,即零向量为{0,0,0};
b、||v||是向量的模,即向量的长度;
c、例子是2D向量的,3D/4D向量都是一样的
【 sqrt(pow(x,2)+pow(y,2)+pow(w,2)…) 】
图片来源于《3D数学基础:图形与游戏开发》5.7
-
k,是一个常数;
-
a,是一个弧度角;
1) 线性缩放
%5B02%5D-%E4%BF%AE%E5%A4%8D%E4%B8%89%E8%A7%92%E5%BD%A2%E7%9A%84%E6%98%BE%E7%A4%BA/11%20%E7%BA%BF%E6%80%A7%E7%BC%A9%E6%94%BE.png)
- XYZ 方向的缩放:
X方向,就是{1,0,0};Y方向,就是{0,1,0};Z方向,就是{0,0,1};分别代入上面的公式即可得到。
图片来源于《3D数学基础:图形与游戏开发》8.3.1
2) 线性旋转
%5B02%5D-%E4%BF%AE%E5%A4%8D%E4%B8%89%E8%A7%92%E5%BD%A2%E7%9A%84%E6%98%BE%E7%A4%BA/13%20%E7%BA%BF%E6%80%A7%E6%97%8B%E8%BD%AC.png)
-
X方向{1,0,0}的旋转:
%5B02%5D-%E4%BF%AE%E5%A4%8D%E4%B8%89%E8%A7%92%E5%BD%A2%E7%9A%84%E6%98%BE%E7%A4%BA/14.png)
-
Y方向{0,1,0}的旋转:
%5B02%5D-%E4%BF%AE%E5%A4%8D%E4%B8%89%E8%A7%92%E5%BD%A2%E7%9A%84%E6%98%BE%E7%A4%BA/15.png)
-
Z方向{0,0,1}的旋转:
%5B02%5D-%E4%BF%AE%E5%A4%8D%E4%B8%89%E8%A7%92%E5%BD%A2%E7%9A%84%E6%98%BE%E7%A4%BA/16.png)
图片来源于《3D数学基础:图形与游戏开发》8.2.2
3、平移
%5B02%5D-%E4%BF%AE%E5%A4%8D%E4%B8%89%E8%A7%92%E5%BD%A2%E7%9A%84%E6%98%BE%E7%A4%BA/17%20%E5%B9%B3%E7%A7%BB.png)
直接把平移向量,按分量{x, y, z}依次代入齐次矩阵即可;
%5B02%5D-%E4%BF%AE%E5%A4%8D%E4%B8%89%E8%A7%92%E5%BD%A2%E7%9A%84%E6%98%BE%E7%A4%BA/19.png)
图片来源于《3D数学基础:图形与游戏开发》9.4.2
4、向量(四元数)
%5B02%5D-%E4%BF%AE%E5%A4%8D%E4%B8%89%E8%A7%92%E5%BD%A2%E7%9A%84%E6%98%BE%E7%A4%BA/20%20%E5%9B%9B%E5%85%83%E6%95%B0.png)
a.向量,即4D向量,也称齐次坐标{x, y, z, w}; 4D->3D,{x/w, y/w, z/w};
b.四元数,[ w, v ]或[ w, (x,y,z) ]两种记法,其中 w 就是一个标量,即一个实数;
c. 点乘
%5B02%5D-%E4%BF%AE%E5%A4%8D%E4%B8%89%E8%A7%92%E5%BD%A2%E7%9A%84%E6%98%BE%E7%A4%BA/21%20%E7%9F%A9%E9%98%B5%E4%B9%98%E6%B3%95_%E7%82%B9%E4%B9%98.png)
c.1 上面两种是合法的,而下面两种是不合法的,就是没有意义的;
c.2 第一个为 A(1x3) 行向量(矩阵)与 B(3x3)方阵的点乘,第二个是 A(3x3) 的方阵与 A(3x1) 的列向量(矩阵)的点乘;
图片来源于《3D数学基础:图形与游戏开发》7.1.7
5、w 与 其它
这块内容现在先不深究,不影响对本文内容的理解。
- W
%5B02%5D-%E4%BF%AE%E5%A4%8D%E4%B8%89%E8%A7%92%E5%BD%A2%E7%9A%84%E6%98%BE%E7%A4%BA/22%20w.png)
w,与平移向量{x, y, z}组成齐次坐标;一般情况下,都是1;
- 投影
%5B02%5D-%E4%BF%AE%E5%A4%8D%E4%B8%89%E8%A7%92%E5%BD%A2%E7%9A%84%E6%98%BE%E7%A4%BA/23%20%E6%8A%95%E5%BD%B1.png)
这里主要是控制投影,如透视投影;如:
%5B02%5D-%E4%BF%AE%E5%A4%8D%E4%B8%89%E8%A7%92%E5%BD%A2%E7%9A%84%E6%98%BE%E7%A4%BA/24.png)
图片来源于《3D数学基础:图形与游戏开发》9.4.6
三、OpenGL 下的三维变换
这里主要讨论第一阶段 Vertex 的 3D 变换,对于视图变换、投影变换,不作过多讨论;如果要完全掌握后面两个变换,还需要掌握 OpenGL 下的多坐标系系统,以及摄像机系统的相关知识。
1、OpenGL 的坐标系
- 坐标系方向定义分两种:
%5B02%5D-%E4%BF%AE%E5%A4%8D%E4%B8%89%E8%A7%92%E5%BD%A2%E7%9A%84%E6%98%BE%E7%A4%BA/25.png)
图片来源于,《3D数学基础:图形与游戏开发》8.1;左右手坐标系是用来定义方向的。
- 旋转的正方向
%5B02%5D-%E4%BF%AE%E5%A4%8D%E4%B8%89%E8%A7%92%E5%BD%A2%E7%9A%84%E6%98%BE%E7%A4%BA/26%20%E5%8F%B3%E6%89%8B%E5%9D%90%E6%A0%87.png)
图片来源于,Diney Bomfim 的《Cameras on OpenGL ES 2.x - The ModelViewProjection Matrix》;这个就是 OpenGL 使用的坐标系,右手坐标系;其中白色小手演示了在各轴上旋转的正方向(黑色箭头所绕方向);
2、OpenGL 的 gl_Position 是行向量还是列向量
%5B02%5D-%E4%BF%AE%E5%A4%8D%E4%B8%89%E8%A7%92%E5%BD%A2%E7%9A%84%E6%98%BE%E7%A4%BA/27.png)
-
这里讨论的核心是,gl_Position 接收的是 行向量,还是列向量?
%5B02%5D-%E4%BF%AE%E5%A4%8D%E4%B8%89%E8%A7%92%E5%BD%A2%E7%9A%84%E6%98%BE%E7%A4%BA/29%20%E5%88%97%E5%90%91%E9%87%8F.png)
-
讨论行列向量的目的是明确,3D 矩阵变换在做乘法的时候是使用左乘还是右乘;
%5B02%5D-%E4%BF%AE%E5%A4%8D%E4%B8%89%E8%A7%92%E5%BD%A2%E7%9A%84%E6%98%BE%E7%A4%BA/30.png)
图片来源于,《线性代数》矩阵及其运算一节
从图中的结果就可以看出,左乘和右乘运算后是完全不一样的结果;虽然图片中的矩阵是 2 x 2 方阵,但是扩展到 n x n 也是一样的结果;
-
那么 OpenGL 使用的是什么向量?
英文大意:矩阵和矩阵乘法在处理坐标系显示模型方面是一个非常有用的途径,而且对于处理线性变换而言也是非常方便的机制。
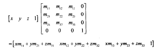
红框处的向量就是 v_Position 顶点数据;即 OpenGL 用的是列向量;(木有找到更有力的证据,只能这样了) -
左乘右乘问题?
英文大意:在我们的视图模型中,我们想通过一个向量来与矩阵变换进行乘法运算,这里描述了一个矩阵乘法,向量先乘以 A 矩阵再乘以 B 矩阵:
很明显,例子使用的就是左乘,即 OpenGL 用的是左乘;图 1、3 来源于,《OpenGL Programming Guide 8th》第5章第二节
图 2 来源于,《3D数学基础:图形与游戏开发》7.1.8
3、单次三维变换与多次三维变换问题
%5B02%5D-%E4%BF%AE%E5%A4%8D%E4%B8%89%E8%A7%92%E5%BD%A2%E7%9A%84%E6%98%BE%E7%A4%BA/34%20%E5%A4%9A%E6%AC%A1%E5%8F%98%E6%8D%A2.png)
(1) OpenGL 的三维变换整体图:
%5B02%5D-%E4%BF%AE%E5%A4%8D%E4%B8%89%E8%A7%92%E5%BD%A2%E7%9A%84%E6%98%BE%E7%A4%BA/35%204x4%20%E6%95%B4%E4%BD%93%20OpenGL.png)
因为列向量的影响,在做点乘的时候,平移放在下方与右侧是完全不一样的结果,所以进行了适应性修改
- 平移部分的内容:
%5B02%5D-%E4%BF%AE%E5%A4%8D%E4%B8%89%E8%A7%92%E5%BD%A2%E7%9A%84%E6%98%BE%E7%A4%BA/36%204X4%E6%96%B9%E9%98%B5%20OpenGL.png)
%5B02%5D-%E4%BF%AE%E5%A4%8D%E4%B8%89%E8%A7%92%E5%BD%A2%E7%9A%84%E6%98%BE%E7%A4%BA/37%20%E5%B9%B3%E7%A7%BB%20OpenGL.png)
- 矩阵平移公式
%5B02%5D-%E4%BF%AE%E5%A4%8D%E4%B8%89%E8%A7%92%E5%BD%A2%E7%9A%84%E6%98%BE%E7%A4%BA/38.png)
等式左侧:A(4x4)方阵点乘{v.x, v.y, v.z, 1.0}是顶点数据列向量;右侧就是一个 xyz 均增加一定偏移的列向量
图片来源于,《OpenGL Superblble》7th, Part 1, Chapter 4. Math for 3D Graphics
- 投影(就是零)
%5B02%5D-%E4%BF%AE%E5%A4%8D%E4%B8%89%E8%A7%92%E5%BD%A2%E7%9A%84%E6%98%BE%E7%A4%BA/39%20%E6%8A%95%E5%BD%B1%20OpenGL.png)
(2) 所有的变换图例演示
物体的坐标是否与屏幕坐标原点重叠
%5B02%5D-%E4%BF%AE%E5%A4%8D%E4%B8%89%E8%A7%92%E5%BD%A2%E7%9A%84%E6%98%BE%E7%A4%BA/40%20Linaer%20Transforms.png)
- 单次变换 (原点重叠)
无变换,即此矩阵与任一向量相乘,不改变向量的所有分量值,能做到这种效果的就是单位矩阵,而我们使用的向量是齐次坐标{x, y, z, w},所以使用 4 x 4 方阵;{w === 1}.
- 缩放
单一的线性变换——缩放,缩放变换是作用在蓝色区域的 R(3x3) 方阵的正对角线(从m11(x)->m22(y)->m33(z))中;例子是 X、Y、Z 均放大 3 倍。
- 旋转
单一的线性变换——旋转,旋转变换是作用在蓝色区域的 R(3x3) 方阵中;例子是绕 Z 轴旋转 50 度。
- 平移
单一的线性变换——平移,平移变换是作用在绿色区域的 R(3x1) 矩阵中({m11, m21, m31}对应{x, y, z});例子是沿 X 正方向平移 2.5 个单位。
- 单次变换 (原点不重叠)
%5B02%5D-%E4%BF%AE%E5%A4%8D%E4%B8%89%E8%A7%92%E5%BD%A2%E7%9A%84%E6%98%BE%E7%A4%BA/45%20Translation&Scale.png)
%5B02%5D-%E4%BF%AE%E5%A4%8D%E4%B8%89%E8%A7%92%E5%BD%A2%E7%9A%84%E6%98%BE%E7%A4%BA/46%20Translation&Rotate.png)
以上图片内容来源于《OpenGL Programming Guide》8th, Linear Transformations and Matrices 一小节,使用 skecth 重新排版并导出
(3) 多次变换
%5B02%5D-%E4%BF%AE%E5%A4%8D%E4%B8%89%E8%A7%92%E5%BD%A2%E7%9A%84%E6%98%BE%E7%A4%BA/47%20%E8%BF%9E%E7%BB%AD%E5%8F%98%E6%8D%A2.png)
这里的问题就是先旋转还是后旋转。旋转前后,变化的是物体的坐标系 (虚线(变换后),实线(变换前)),主要是看你要什么效果,而不是去评论它的对错。
图片来源于,《OpenGL Superblble》7th, Matrix Construction and Operators 一节;
4、OpenGL 的变换是在那个阶段发生的,如何发生
%5B02%5D-%E4%BF%AE%E5%A4%8D%E4%B8%89%E8%A7%92%E5%BD%A2%E7%9A%84%E6%98%BE%E7%A4%BA/48%203D%E5%8F%98%E6%8D%A2.png)
ES 主要看红框处的顶点着色阶段即可,所以我们的变换代码是写在 Vertex Shader 的文件中。
%5B02%5D-%E4%BF%AE%E5%A4%8D%E4%B8%89%E8%A7%92%E5%BD%A2%E7%9A%84%E6%98%BE%E7%A4%BA/49%20%E5%8F%98%E6%8D%A2%E8%BD%AC%E6%8D%A2.png)
这里描述了三个变换阶段,第一个阶段是模型变换,第二个是视图变换阶段,第三个是投影变换阶段,最后出来的才是变换后的图形。本文讨论的是第一个阶段。
%5B02%5D-%E4%BF%AE%E5%A4%8D%E4%B8%89%E8%A7%92%E5%BD%A2%E7%9A%84%E6%98%BE%E7%A4%BA/50%20%E8%AF%A6%E7%BB%86%E8%BF%87%E7%A8%8B.png)
作为了解即可
以上图片均来源于,《OpenGL Programming Guide》8th, 5. Viewing Transformations, Clipping, and Feedback 的 User Transformations 一节;
四、修复拉伸问题
1、改写 Shader Code
%5B02%5D-%E4%BF%AE%E5%A4%8D%E4%B8%89%E8%A7%92%E5%BD%A2%E7%9A%84%E6%98%BE%E7%A4%BA/51.png)
增加了一个 uniform 变量,而且是 mat4 的矩阵类型,同时左乘于顶点数据;
- 为什么使用 uniform 变量?
- 首先, Vertex Shader 的输入量可以是 : attribute、unforms、samplers、temporary 四种;
- 其次,我们的目的是把每一个顶点都缩小一个倍数,也就是它是一个固定的变量,即常量,所以排除 arrribute、temporary ;
- 同时,既然是一个常量数据,那么 samplers 可以排除,所以最后使用的是 uniforms 变量;
- 首先, Vertex Shader 的输入量可以是 : attribute、unforms、samplers、temporary 四种;
- 为什么使用 mat4 类型? v_Position 是{x, y, z, w}的列向量,即为 4 x 1 的矩阵,如果要最终生成 gl_Position 也是 4 x 1 的列向量,那么就要左乘一个 4 x 4 方阵;而 mat4 就是 4 x 4 方阵。
补充:n x m · 4 x 1 -> 4 x 1,如果要出现最终 4 x 1 那么,n 必须要是 4;如果矩阵点乘成立,那么 m 必须要是 4; 所以最终结果是 n x m = 4 x 4 ;
2、应用 3D 变换知识,重新绑定数据
这里主要解决,如何给 uniform 变量赋值,而且在什么时候进行赋值的问题
核心步骤
1、在 glLinkProgram 函数之后,利用 glGetUniformLocation 函数得到 uniform 变量的 location (内存标识符);
2、从 Render Buffer 得到屏幕的像素比(宽:高)值,即为缩小的值;
3、使用 Shader Program , 调用 glUseProgram 函数;
4、使用 3D 变换知识,得到一个缩放矩阵变量 scaleMat4;
5、使用 glUniform* 函数把 scaleMat4 赋值给 uniform 变量;
- 如何给 uniform 变量赋值?
1、得到 uniform 的内存标识符
要在 glLinkProgram 后,再获取 location 值,因为只有链接后 Program 才会 location 的值
%5B02%5D-%E4%BF%AE%E5%A4%8D%E4%B8%89%E8%A7%92%E5%BD%A2%E7%9A%84%E6%98%BE%E7%A4%BA/52.png)
- (BOOL)linkShaderWithProgramID:(GLuint)programID {
// 绑定 attribute 变量的下标
// 如果使用了两个或以上个 attribute 一定要绑定属性的下标,不然会找不到数据源的
// 因为使用了一个的时候,默认访问的就是 0 位置的变量,必然存在的,所以才不会出错
[self bindShaderAttributeValuesWithShaderProgramID:programID];
// 链接 Shader 到 Program
glLinkProgram(programID);
// 获取 Link 信息
GLint linkSuccess;
glGetProgramiv(programID, GL_LINK_STATUS, &linkSuccess);
if (linkSuccess == GL_FALSE) {
GLint infoLength;
glGetProgramiv(programID, GL_INFO_LOG_LENGTH, &infoLength);
if (infoLength > EmptyMessage) {
GLchar *messages = malloc(sizeof(GLchar *) * infoLength);
glGetProgramInfoLog(programID, infoLength, NULL, messages);
NSString *messageString = [NSString stringWithUTF8String:messages];
NSLog(@"Error: Link Fail %@ !", messageString);
free(messages);
}
return Failure;
}
// 在这里
[self.shaderCodeAnalyzer updateActiveUniformsLocationsWithShaderFileName:@"VFVertexShader"
programID:programID];
return Successfully;
}
- (void)updateActiveUniformsLocationsWithShaderFileName:(NSString *)fileName programID:(GLuint)programID {
NSDictionary *vertexShaderValueInfos = self.shaderFileValueInfos[fileName];
ValueInfo_Dict *uniforms = vertexShaderValueInfos[UNIFORM_VALUE_DICT_KEY];
NSArray *keys = [uniforms allKeys];
for (NSString *uniformName in keys) {
const GLchar * uniformCharName = [uniformName UTF8String];
// 在这里
GLint location = glGetUniformLocation(programID, uniformCharName);
VFShaderValueInfo *info = uniforms[uniformName];
info.location = location;
}
}
补充:
| glGetActiveUniform | |
|---|---|
void glGetActiveUniform(GLuint program, GLuint index, GLsizei bufSize, GLsizei *length, GLint *size, GLenum *type, char *name) |
|
| program 指 Shader Program 的内存标识符 | |
| index 指下标,第几个 uniform 变量,[0, activeUniformCount] | |
| bufSize 所有变量名的字符个数,如:v_Projection , 就有 12 个,如果还定义了 v_Translation 那么就是12 + 13 = 25个 | |
| length NULL 即可 | |
| size 数量,uniform 的数量,如果不是 uniform 数组,就写 1,如果是数组就写数组的长度 | |
| type uniform 变量的类型,GL_FLOAT, GL_FLOAT_VEC2,GL_FLOAT_VEC3, GL_FLOAT_VEC4,GL_INT, GL_INT_VEC2, GL_INT_VEC3, GL_INT_VEC4, GL_BOOL,GL_BOOL_VEC2, GL_BOOL_VEC3, GL_BOOL_VEC4,GL_FLOAT_MAT2, GL_FLOAT_MAT3, GL_FLOAT_MAT4,GL_SAMPLER_2D, GL_SAMPLER_CUBE | |
| name uniform 变量的变量名 |
// 这个函数可以得到,正在使用的 uniform 个数,即可以知道 index 是从 0 到几;
// 还有可以得到,bufSize 的长度
glGetProgramiv(progObj, GL_ACTIVE_UNIFORMS, &numUniforms);
glGetProgramiv(progObj, GL_ACTIVE_UNIFORM_MAX_LENGTH,
&maxUniformLen);
注:VFShaderValueRexAnalyzer 类就是一个方便进行调用的一种封装而已,你可以使用你喜欢的方式进行封装;
图片来源于,《OpenGL ES 2.0 Programming Guide》4. Shaders and Programs,Uniforms and Attributes 一节
- 在什么时候进行赋值操作?
一定要在 glUseProgram 后再进行赋值操作,不然无效
- (void)drawTriangle {
[self.shaderManager useShader];
[self.vertexManager makeScaleToFitCurrentWindowWithScale:[self.rboManager windowScaleFactor]];
[self.vertexManager draw];
[self.renderContext render];
}
2、得到屏幕的像素比
- (CGFloat)windowScaleFactor {
CGSize renderSize = [self renderBufferSize];
float scaleFactor = (renderSize.width / renderSize.height);
return scaleFactor;
}
补充:renderBufferSize
- (CGSize)renderBufferSize {
GLint renderbufferWidth, renderbufferHeight;
glGetRenderbufferParameteriv(GL_RENDERBUFFER, GL_RENDERBUFFER_WIDTH, &renderbufferWidth);
glGetRenderbufferParameteriv(GL_RENDERBUFFER, GL_RENDERBUFFER_HEIGHT, &renderbufferHeight);
return CGSizeMake(renderbufferWidth, renderbufferHeight);
}
3、使用 Shader Program
- (void)useShader {
glUseProgram(self.shaderProgramID);
}
4、使用 3D 变换知识,得到一个缩放矩阵变量 scaleMat4
VFMatrix4 scaleMat4 = VFMatrix4MakeScaleY(scale);
扩展1:
VFMatrix4 VFMatrix4MakeXYZScale(float sx, float sy, float sz) { VFMatrix4 r4 = VFMatrix4Identity; VFMatrix4 _mat4 = { sx , r4.m12, r4.m13, r4.m14, r4.m21, sy , r4.m23, r4.m24, r4.m31, r4.m32, sz , r4.m34, r4.m41, r4.m42, r4.m43, r4.m44, }; return _mat4; }; VFMatrix4 VFMatrix4MakeScaleX(float sx) { return VFMatrix4MakeXYZScale(sx, 1.f, 1.f); }; VFMatrix4 VFMatrix4MakeScaleY(float sy) { return VFMatrix4MakeXYZScale(1.f, sy, 1.f); }; VFMatrix4 VFMatrix4MakeScaleZ(float sz) { return VFMatrix4MakeXYZScale(1.f, 1.f, sz); };它们都定义在:
注:如果不想自己去写这些函数,那么可以直接使用 GLKit 提供的
个人建议,自己去尝试写一下会更好
5、使用 glUniform* 函数把 scaleMat4 赋值给 uniform 变量
- (void)makeScaleToFitCurrentWindowWithScale:(float)scale {
NSDictionary *vertexShaderValueInfos = self.shaderCodeAnalyzer.shaderFileValueInfos[@"VFVertexShader"];
ValueInfo_Dict *uniforms = vertexShaderValueInfos[UNIFORM_VALUE_DICT_KEY];
// NSLog(@"uniforms %@", [uniforms allKeys]);
// v_Projection 投影
// VFMatrix4 scaleMat4 = VFMatrix4Identity;
VFMatrix4 scaleMat4 = VFMatrix4MakeScaleY(scale);
VFMatrix4 transMat4 = VFMatrix4Identity; //VFMatrix4MakeTranslationX(0.3)
glUniformMatrix4fv((GLint)uniforms[@"v_Projection"].location, // 定义的 uniform 变量的内存标识符
1, // 不是 uniform 数组,只是一个 uniform -> 1
GL_FALSE, // ES 下 只能是 False
(const GLfloat *)scaleMat4.m1D); // 数据的首指针
glUniformMatrix4fv((GLint)uniforms[@"v_Translation"].location, // 定义的 uniform 变量的内存标识符
1, // 不是 uniform 数组,只是一个 uniform -> 1
GL_FALSE, // ES 下 只能是 False
(const GLfloat *)transMat4.m1D); // 数据的首指针
}
扩展2:
- 赋值函数有那些?
它们分别是针对不同的 uniform 变量进行的赋值函数
![]()
![]()
3、完整工程:Github: DrawTriangle_Fix
glsl 代码分析类
![]()
核心的知识是 正则表达式,主要是把代码中的变量解析出来,可以对它们做大规模的处理。有兴趣可以看一下,没有兴趣的可以忽略它完全不影响学习和练习本文的内容。
%5B02%5D-%E4%BF%AE%E5%A4%8D%E4%B8%89%E8%A7%92%E5%BD%A2%E7%9A%84%E6%98%BE%E7%A4%BA/53%20VFMath.png)
%5B02%5D-%E4%BF%AE%E5%A4%8D%E4%B8%89%E8%A7%92%E5%BD%A2%E7%9A%84%E6%98%BE%E7%A4%BA/54%20%E6%95%B0%E5%AD%A6%E5%87%BD%E6%95%B0.png)
%5B02%5D-%E4%BF%AE%E5%A4%8D%E4%B8%89%E8%A7%92%E5%BD%A2%E7%9A%84%E6%98%BE%E7%A4%BA/57.png)